イヌは本能的に遊び好きな動物であり、ボールやぬいぐるみなどのおもちゃで遊ぶ姿は飼い主にとって癒やしのひとときです。
しかし、最新の研究によって一部のイヌはおもちゃに対して人間の「行動依存症」に似た反応を示す可能性があることが明らかになりました。
🧩 出典:Addictive-like behavioural traits in pet dogs with extreme motivation for toy play(Scientific Reports)
Nature公式論文はこちら

🎯「遊び」は本来、種の生存を助ける行動
そもそも「遊び」とは何のために存在するのでしょうか?
科学的には、狩猟・交尾・戦闘などの生存に必要なスキルを安全に練習する行動だと考えられています。
若い哺乳類に多く見られるこの行動は、イヌやヒトのように脳が大きく社会性の高い動物では、
成犬や成人になっても生涯を通じて見られる特徴です。
特にイヌは人間との長い共生の歴史の中で、
遊びを通して絆を深め、感情を共有する能力を発達させてきました。
しかしその一方で、「遊びの快感」が強すぎて依存的になる個体も存在することが明らかになっています。

⚗️研究の概要:105匹のイヌを対象に“おもちゃへの執着”を検証
研究チームは、おもちゃに対して極めて強い興味を示す105匹のイヌを対象に行動実験とアンケート調査を実施しました。
実験は約5m×3mの実験室で行われ、
飼い主と犬が自由に過ごした後、研究者が複数のおもちゃを提示。
イヌが最も興味を示したおもちゃを選び、それを用いて14種類の行動テストを行いました。
また、おもちゃの代わりに食べ物(フードパズル)を与えた比較テストも実施し、
「おもちゃ」と「食べ物」どちらへの執着が強いかを分析しました。

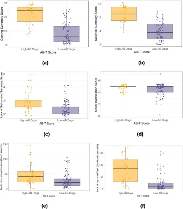
🧠結果:3分の1のイヌが「依存症的な行動傾向」を示す
驚くべきことに、全体の約3分の1(33匹)が、
以下のような依存症に類似した行動特性を示しました👇
| 行動指標 | 内容 |
|---|---|
| 渇望(Craving) | おもちゃに強い欲求を示す |
| 顕著性(Salience) | 他の刺激よりおもちゃを優先 |
| 自制心の欠如(Lack of control) | 遊びをやめられない |
| 気分変化(Mood modification) | 遊びが気分に大きく影響 |
これらのイヌは実験中、手の届かないおもちゃに対して長時間粘り強く接近を試みる傾向を示し、
フードや飼い主との交流など、他の刺激への関心が低下していました。
さらに飼い主へのアンケートでも、
「おもちゃで遊べないと落ち着かない」「遊ぶと気分が高揚する」などの回答が多く、
まるで人間の行動依存症(ゲーム依存やギャンブル依存)に似た心理的特徴が確認されました。
🐾「高AB犬」と「低AB犬」:依存度による明確な違い
研究者たちは、行動依存症の特徴が顕著なイヌを**「高AB犬(Addictive-like Behaviour)」、
依存傾向が低いイヌを「低AB犬」**と分類しました。
比較した結果、特に「渇望」「顕著性」「自制心の欠如」の3つの指標で、
高AB犬は明確に高いスコアを示しています。
ただし「気分変化」に関しては両者に差が見られず、
これは“単なる遊びの楽しさ”と“依存的快感”が異なる性質であることを示唆しています。
🔍イヌの行動依存症は、人間の依存メカニズムと共通?
この研究は、イヌの脳と人間の脳が報酬・動機づけの神経回路において類似点を持つ可能性を示しています。
おもちゃで遊ぶことで得られる快感(ドーパミン分泌)は、
人間がギャンブル・ゲーム・SNSなどに熱中する際と似たメカニズムで起きている可能性があります。
一方で、ほとんどのイヌにとって遊びは健康で社会的な行動です。
過剰な執着を示す個体は少数派であり、
多くの場合はストレス発散や飼い主との関係強化といったポジティブな効果をもたらします。
🧩まとめ:「遊び」は大切、でも“依存”には注意
今回の研究は、イヌにも「依存症に似た行動傾向」が存在する可能性を初めて示したものです。
🐕 飼い主が覚えておきたいポイント
- 🎾 遊びの頻度が極端に多く、他の刺激に無関心な場合は注意
- 🍖 食べ物や散歩などの楽しみを取り戻す工夫を
- 🧘♂️ 飼い主との触れ合いや知育遊びでバランスを保つ
おもちゃ遊びはイヌにとって心身の健康維持に欠かせませんが、
「遊びがすべて」になってしまうと、ストレスや強迫的行動のサインかもしれません。
研究チームは「イヌの行動を通じて、人間の依存症理解にもつながる」としており、
今後の行動科学や獣医学の発展にも期待が寄せられています。

