近年、食生活と脳の健康の関係性についての研究が進む中、赤身肉やその加工品に関しては健康リスクがたびたび指摘されています。糖尿病や心疾患との関連は広く知られていますが、新たな研究でソーセージやベーコンといった赤身の加工肉が、認知症リスクの増加と関係していることが明らかになりました。

📊 大規模調査で判明した「加工肉と認知症リスク」の関連
米ハーバード公衆衛生大学院やマサチューセッツ大学の研究チームは、
- Nurses’ Health Study(看護師健康調査)
- Health Professionals Follow-Up Study(医療専門家追跡調査)
という最大43年にわたる追跡調査データを活用し、13万3771人の食生活と認知症発症リスクを分析しました。
研究開始時の平均年齢は49歳で、追跡期間中に1万1173人が認知症と診断されました。食事内容、社会経済的地位、家族歴、生活習慣などを考慮した上でも、赤身加工肉の摂取と認知症リスクの間には有意な関連が確認されました。

🚨 1日21g以上の加工肉でリスク13%増
調査の結果、
- 1日あたり約21g以上の赤身加工肉を摂取する人は、
- 8g未満の摂取者と比べて認知症発症リスクが13%高いことが判明。
さらに、摂取量が多いほど認知機能の低下が早く、1日85g(ホットドッグ1本程度)多いごとに約1.6年分、認知機能の衰えが早まると報告されました。

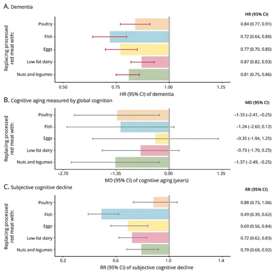
🐓 加工肉を他の食品に置き換えるとリスクが低下
研究では、赤身加工肉を次の食品に置き換えると、認知症リスクが大幅に低下することも示されました。
- 鶏肉(Poultry)
- 魚(Fish)
- 卵(Eggs)
- 低脂肪乳製品(Low-fat dairy)
- ナッツや豆類(Nuts and legumes)
これらの食品は、飽和脂肪酸や塩分の摂取を抑えつつ、脳の健康を維持する栄養を多く含んでいます。

🧠 なぜ加工肉が脳に悪影響を与えるのか?
赤身加工肉が認知症リスクに関与する可能性としては、以下のような仮説があります。
- 腸内環境への悪影響
加工肉の摂取は腸内細菌叢を変化させ、炎症や代謝異常を引き起こす可能性があります。 - 飽和脂肪酸・塩分による脳細胞のダメージ
血流や酸素供給の低下、酸化ストレスの増加が認知機能低下を促進します。 - 酸化防止剤や発色剤の長期摂取の影響
加工肉に含まれる添加物が神経細胞に有害に働く可能性があります。
💡 健康的な食生活へのヒント
- 加工肉はできるだけ減らす
- 鶏肉や魚、大豆製品、ナッツ類を積極的に摂取
- 野菜や果物を毎日の食事に加える
- 塩分・飽和脂肪酸の摂取量を意識する
研究チームも「赤身肉、とくに加工肉の摂取を減らすことは、認知機能を守るための食事ガイドラインに含めるべき」と強調しています。
📌 まとめ
今回の研究は因果関係を直接証明するものではありませんが、長期間にわたる大規模データから、赤身加工肉の多量摂取が認知症リスクや認知機能低下と関連する可能性が示されました。
健康な脳を維持するためにも、日々の食生活を見直し、加工肉を減らす工夫が求められます。

